欢迎光临:莱耀标准品网!
 您的位置:对照品 > 标准品 > 英国药典 >
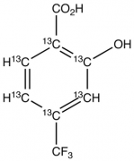
Desacetyl Triflusal-13C6
产品基本信息
产品编号:D288767
产品名称:Desacetyl Triflusal-13C6
产品CAS:1246817-12-8
规格含量:
产品价格:面议
联系我们:
产品详细介绍
标准品编号: D288767
名称: Desacetyl Triflusal-13C6
别名: 2-Hydroxy-4-(trifluoromethyl)benzoic Acid-13C6; α,α,α-Trifluoro-2,4-cresotic Acid-13C6; 4-(Trifluoromethyl)salicylic Acid-13C6; 4-Trifluoromethyl-2-hydroxybenzoic Acid-13C6;
CAS号: 1246817-12-8
参考CAS号: 328-90-5-未标记
分子式: C₂¹³C₆H₅F₃O₃
分子量: 212.07
种类: Standards; Isotopic Labeled Analogues; Pharmaceutical/API Drug Impurities/Metabolites;
应用: The active labelled metabolite of Triflusal; inhibits cardiac hypertrophy in vitro and in vivo by blocking the NF-κB signaling pathway.
参考文献


2011-2018 信阳莱耀生物科技有限公司 @ 信阳埃尔文生物科技有限公司版权所有

中检所标准品,对照品,标准气体
Keywords: 中检所标准品 对照品 标准气体