欢迎光临:莱耀标准品网!
 您的位置:对照品 > 标准品 > 英国药典 >
3β,5β-Dihydroxy Drospirenone-d4 Ring-opened Alcohol Impurity
产品基本信息
产品编号:D452792
产品名称:3β,5β-Dihydroxy Drospirenone-d4 Ring-opened Alcohol Impurity
产品CAS:
规格含量:5mg,50mg
产品价格:2700元,21000元
联系我们:
产品详细介绍

  3β,5β-Dihydroxy Drospirenone-d4 Ring-opened Alcohol Impurity标准品

  英文名:3β,5β-Dihydroxy Drospirenone-d4 Ring-opened Alcohol Impurity
  规格:5mg,50mg
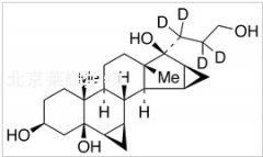
  结构式:
结构图
  分子式:C24H34D4O4
  分子量:394.58
  别名: (3S,5R,6R,7R,8R,9S,10R,13S,14S,15S,16S,17S)-Octadecahydro-17-(3-hydroxypropyl)-10,13-dimethyl-5H-dicyclopropa[6,7:15,16]cyclopenta[a]phenanthrene-3,5,17-triol-d4; [3S-(3α,5α,6β,7β,8α,9β,10α,13α,14β,15β,16β,17α)]-Octadecahydro-17-(3-hydroxypropyl)-10,13-dimethyl-5H-dicyclopropa[6,7:15,16]cyclopenta[a]phenanthrene-3,5,17-triol-d4; 17-(3-Hydroxypropyl)-6β,7β:15β,16β-dimethyleneandrostane-3β,5β,17β-triol-d4
  产品类别:莱耀生物标准品,莱耀生物提供
  注:产品信息以英文名称为准


2011-2018 信阳莱耀生物科技有限公司 @ 信阳埃尔文生物科技有限公司版权所有

中检所标准品,对照品,标准气体
Keywords: 中检所标准品 对照品 标准气体