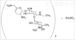
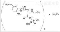
硫酸奈替米星标准品
货号:N390800
英文名称:Netilmicin Sulfate
别名:O-3-Deoxy-4-C-methyl-3-(methylamino)-β-l-arabinopyranosyl-(1-6)-O-[2,6-diamino-2,3,4,6-tetradeoxy
规格:10mg,100mg
结构式:

CAS号:56391-57-2
分子式:C42H92N10O34S5 [C21H41N5O7 - free base]
分子量:1441.5547558
产品类别:莱耀生物标准品,莱耀生物提供
|