欢迎光临:莱耀标准品网!
 您的位置:对照品 > 标准品 > 英国药典 >
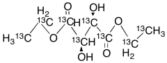
Diethyl L-(+)-Tartrate-13C8
产品基本信息
产品编号:D445042
产品名称:Diethyl L-(+)-Tartrate-13C8
产品CAS:
规格含量:5mg
产品价格:面议
联系我们:
产品详细介绍
标准品编号: D445042
名称: Diethyl L-(+)-Tartrate-13C8
别名: (2R,3R)-2,3-dihydroxy-butanedioic Acid 1,4-Diethyl Ester-13C8; (2R,3R)-2,3-dihydroxy-butanedioic Acid Diethyl Ester-13C8; 2,3-Dihydroxy-[R-(R*,R*)]-butanedioic Acid Diethyl Ester-13C8; Diethyl Ester Tartaric Acid-13C8; (+)-(R,R)-Diethyl Tartrate-13C8; (+)-Diethyl L-Tartrate-13C8; (R,R)-Diethyl Tartrate-13C8; (R,R)-Tartaric Acid Diethyl Ester-13C8; Diethyl (+)-Tartrate-13C8; Diethyl (2R,3R)-(+)-Tartrate-13C8; Diethyl (2R,3R)-2,3-Dihydroxysuccinate-13C8; Diethyl (2R,3R)-Tartrate-13C8; Diethyl (R,R)-(+)-Tartrate-13C8; Diethyl (R,R)-Tartrate-13C8; Diethyl 1,2-Dihydroxy-1,2-ethanedicarboxylate-13C8; Diethyl L-(+)-Tartrate-13C8; Diethyl L-(+)-Tartrate-13C8; Diethyl L-Tartarate-13C8; Diethyl L-Tartrate-13C8; Diethyl Tartrate-13C8; Ethyl (+)-Tartrate-13C8; Ethyl Tartrate-13C8; L-Diethyl Tartrate-
参考CAS号: 未标记:87-91-2
分子式: ¹³C₈H₁₄O₆
分子量: 214.13
种类: Building Blocks; Isotopic Labeled Analogues;
应用: Diethyl L-(+)-Tartrate-13C8 is the isotope labelled analog of Diethyl L-(+)-Tartrate. Diethyl L-(+)-Tartrate is used as a chiral reagent in a host of chemical reactions, such as the synthesis of isoquinoline alkaloids and arundic acid, which has been used in acute ischemic stroke therapy.
参考文献


2011-2018 信阳莱耀生物科技有限公司 @ 信阳埃尔文生物科技有限公司版权所有

中检所标准品,对照品,标准气体
Keywords: 中检所标准品 对照品 标准气体