Ergonovine Maleate Salt标准品
货号:E597800
英文名称:Ergonovine Maleate Salt
别名: (8β)-9,10-Didehydro-N-[(1S)-2-hydroxy-1-methylethyl]-6-methylergoline-8-carboxamide (2Z)-2-Butenedioate; 9,10-Didehydro-N-((S)-2-hydroxy-1-methylethyl)- 6-methylergoline-8β-carboxamide Maleate; N-[(S)-2-Hydroxy-1-methylethyl] lysergamide Maleate; D-Lysergic Acid-L-propanolamide Maleate; Cornocentin; D-Ergonovine Maleate; Ergobasine Maleate; Ergomet; Ergometrin Maleate; Ergometrine Acid Maleate; Ergometrine hydrogen maleate; Ergometrine Maleate; Ergotrate; Ermetrin; Ermetrine; NSC 93752;
规格:1mg,10mg
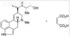
结构式:

CAS号:129-51-1
分子式:C23H27N3O6
分子量:441.48
产品类别:莱耀生物标准品,北京莱耀生物提供
注:产品名称以英文名称为准
|