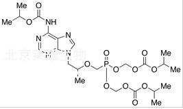
替诺福韦氨基甲酸酯标准品
货号:T018520
英文名称:Tenofovir Disoproxil Isopropoxycarbonyl
别名:5-[[(1R)-1-Methyl-2-[6-[(isopropoxycarbonyl)amino]-9H-purin-9-yl]ethoxy]methyl]-2,4,6,8-tetraoxa-5-phosphanonanedioic Acid Bis(1-methylethyl) Ester 5-Oxide;
规格:1mg,10mg
结构式:

CAS号:1244022-54-5
分子式:C23H36N5O12P
分子量:605.53
产品类别:莱耀生物标准品,北京莱耀生物提供
注:产品名称以英文名称为准
|