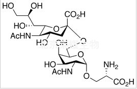
STn Epitope标准品
货号:S687000
英文名称:STn Epitope
别名:Serinyl 2-Acetamido-2-deoxy-6-O-(α-2-N-Acetylnuraminyl)-α-D-galactopyranosyl; 6-O-α-Sialyl-2-acetamido-2-deoxy-α-D-galactopyranosyl-1-O-L-serine; O-[2-(acetylamino)-6-O-(N-acetyl-α-neuraminosyl)-2-deoxy-α-D-galactopyranosyl]-L-serine;
规格:1mg,10mg
结构式:

CAS号:114661-01-7
分子式:C22H37N3O16
分子量:599.54
产品类别:莱耀生物标准品,北京莱耀生物提供
注:产品名称以英文名称为准
|