欢迎光临:莱耀标准品网!
 您的位置:对照品 > 标准品 > 英国药典 >
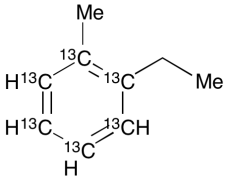
2-Ethyl 13C6-toluene (1 mg/mL in Acetonitrile)
产品基本信息
产品编号:E926636
产品名称:2-Ethyl 13C6-toluene (1 mg/mL in Acetonitrile)
产品CAS:
规格含量:
产品价格:面议
联系我们:
产品详细介绍
标准品编号: E926636
名称: 2-Ethyl 13C6-toluene (1 mg/mL in Acetonitrile)
别名: 1-Ethyl-2-methylbenzene-13C6; 1-Methyl-2-ethylbenzene-13C6; 2-Ethyltoluene-13C6; 2-Methyl-1-ethylbenzene-13C6; 2-Methylethylbenzene-13C6; NSC 405731-13C6; o-Ethylmethylbenzene-13C6; o-Ethyltoluene-13C6; o-Methylethylbenzene-13C6
参考CAS: 611-14-3
分子式: C₃¹³C₆H₁₂
外观: Colourless Solution
熔点: N/A
分子量: 126.15
储存: -20°C Freezer
溶解度: Acetonitrile
种类: Building Blocks; Isotopic Labeled Analogues; Miscellaneous;
应用: 2-Ethyl 13C6-toluene is a labelled aromatic standard.
危险品: Not a dangerous good if item is equal to or less than 1g/ml and there is less than 100g/ml in the package
参考文献


2011-2018 信阳莱耀生物科技有限公司 @ 信阳埃尔文生物科技有限公司版权所有

中检所标准品,对照品,标准气体
Keywords: 中检所标准品 对照品 标准气体