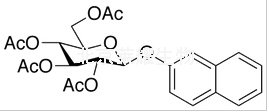
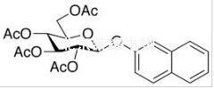
β-Naphthyl β-D-Glucopyranoside Tetraacetate标准品
货号:N368510
英文名称:β-Naphthyl β-D-Glucopyranoside Tetraacetate
别名:2-Naphthalenyl β-D-Glucopyranoside Tetraacetate; 2-Naphthyl β-D-Glucopyranoside Tetraacetate;
规格:250mg,2.5g
结构式:

CAS号:14581-89-6
分子式:C24H26O10
分子量:474.46
产品类别:莱耀生物标准品,北京莱耀生物提供
注:产品名称以英文名称为准
|