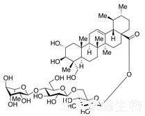
积雪草苷标准品
货号:A788210
英文名称:Asiaticoside
别名: (2α,3β,4α)-2,3,23-Trihydroxyurs-12-en-28-oic Acid O-6-Deoxy-α-L-mannopyranosyl-(1→4)-O-β-D-glucopyranosyl-(1→6)-β-D-glucopyranosyl Ester; Madecassol; Asiaticosid; Ba 2742; Centelase dermatologico; NSC 166062; NSC 36002;
规格:25mg
结构图:

CAS号:16830-15-2
分子式:C₄₈H₇₈O₁₉
分子量:959.12
产品类别:标准对照品,北京莱耀生物提供
|