您的位置:对照品 > 标准品 > 英国药典 > |
|
|
|
| 产品基本信息 |
|
| 产品编号:K139905 |
| 产品名称:Kasugamycin(~70%) |
| 产品CAS:6980-18-3 |
| 规格含量:10g |
| 产品价格:面议 |
| 联系我们: |
|
|
|
|
|
| 产品详细介绍 |
| 标准品编号: |
K139905 |
| 名称: |
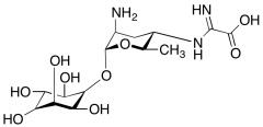
Kasugamycin(~70%) |
| 别名: |
3-O-[2-Amino-4-[(carboxyiminomethyl)amino]-2,3,4,6-tetradeoxy-α-D-arabino-hexopyranosyl]-D-chiro-inositol; Kasumin; KSM; Kasu B; Kasumin 2L; Kasumin L; NSC 100858; |
| CAS号: |
6980-18-3 |
| 参考CAS号: |
Hydrochloride: 19408-46-9 |
| 分子式: |
C₁₄H₂₅N₃O₉ |
| 外观: |
Pale Yellow to Pale Beige Solid |
| 熔点: |
>208°C (dec.) |
| 分子量: |
379.36 |
| 储存: |
Hygroscopic, -20°C Freezer, Under inert atmosphere |
| 溶解度: |
Aqueous Base (Slightly), Water (Slightly) |
| 种类: |
Standards; Antibotics; |
| 应用: |
Kasugamycin is an antibiotic aminoglycoside that inhibits protein synthesis. |
| 参考文献 |
|
|
|
|
|
|
|
|