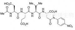
N-乙酰-L-α-天冬氨酰基-L-α-谷氨酰-L-缬氨酰-N-(4-硝基苯基)-L-天冬酰胺
货号:A168315
英文名称:N-Acetyl-L-α-aspartyl-L-α-glutamyl-L-valyl-N-(4-nitrophenyl)-L-asparagine
别名:Ac-DEVD-pNA; N-Acetyl-Asp-Glu-Val-Asp-p-nitroanilide
规格:10mg,100mg
结构图:

CAS号:189950-66-1
分子式:C₂₆H₃₄N₆O₁₃
分子量:638.58
产品类别:标准对照品,北京莱耀生物提供
注:产品名称以英文名称为准
|