欢迎光临:莱耀标准品网!
 您的位置:对照品 > 标准品 > 英国药典 >
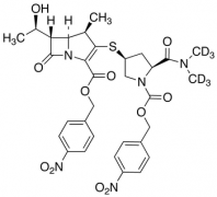
N-4-Nitrobenzyloxycarbonyl Meropenem-d6 4-Nitrobenzyl Ester
产品基本信息
产品编号:N494652
产品名称:N-4-Nitrobenzyloxycarbonyl Meropenem-d6 4-Nitrobenzyl Ester
产品CAS:1246815-65-5
规格含量:25mg
产品价格:面议
联系我们:
产品详细介绍
标准品编号: N494652
名称: N-4-Nitrobenzyloxycarbonyl Meropenem-d6 4-Nitrobenzyl Ester
别名: (4R,5S,6S)-3-[[(3S,5S)-5-[(Dimethylamino)carbonyl]-1-[[(4-nitrophenyl)methoxy]carbonyl]-3-pyrrolidinyl]thio]-6-[(1R)-1-hydroxyethyl]-4-methyl-7-oxo-1-azabicyclo[3.2.0]hept-2-ene-2-carboxylic Acid-d6 (4-Nitrophenyl)methyl Ester; p-Nitrobenzyl (4R,5S,6S)-3-[[(3S,5S)-1-(p-Nitrobenzyloxycarbonyl)-5-(dimethylaminocarbonyl)pyrrolidin-3-yl]thio]-6-[(1R)-1-hydroxyethyl]-4-methyl-7-oxo-1-azabicyclo[3.2.0]hept-2-ene-2-carboxylate-d6;
CAS号: 1246815-65-5
参考CAS号: 类似: 96036-02-1
分子式: C₃₂H₂₉D₆N₅O₁₁S
外观: 白色固体
分子量: 703.75
溶解度: Dichloromethane, Ethyl Acetate,
种类: Standards; Isotopic Labeled Analogues; Pharmaceutical/API Drug Impurities/Metabolites;
应用: Protected Meropenem-d6
参考文献


2011-2018 信阳莱耀生物科技有限公司 @ 信阳埃尔文生物科技有限公司版权所有

中检所标准品,对照品,标准气体
Keywords: 中检所标准品 对照品 标准气体