蛇形菌素标准品
货号:D307550
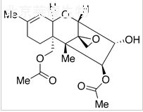
英文名称:Diacetoxyscirpenol
别名: Diacetoxyscirp-9-en-3-ol; 4,15-Diacetoxyscirpen-3-ol; 4,15-Diacetoxyscirpenol; 4β,15-Diacetoxy-12,13-epoxytrichothec-9-en-3α-ol; Anguidine; DAS; NSC 141537; NSC 177378; Scirp-9-ene-3α,4β,15-triol, 4,15-diacetate; Scirpenetriol 4,15-diacetate
规格:5mg,25mg
结构式:

CAS号:2270-40-8
分子式:C19H26O7
分子量:366.41
产品类别:莱耀生物标准品,北京莱耀生物提供
注:产品名称以英文名称为准
|