4-乙酰氧基奥美拉唑标准品
货号:A187355
英文名称:4-Acetyloxy Omeprazole
别名:2-[[(5-Methoxy-1H-benzimidazol-2-yl)sulfinyl]methyl]-4-acetyl-3,5-dimethyl-4-pyridinol; 2-[[(6-Methoxy-1H-benzimidazol-2-yl)sulfinyl]methyl]-3,5-dimethyl-4-pyridinol 4-Acetate;
规格:10mg,100mg
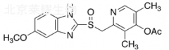
结构图:

CAS号:1246814-65-2
分子式:C₁₈H₁₉N₃O₄S
分子量:373.43
产品类别:标准对照品,北京莱耀生物提供
注:产品名称以英文名称为准
|