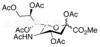
N-乙酰神经氨酸甲酯2,4,7,8,9-五乙酸酯标准品
货号:A187030
英文名称:N-Acetylneuraminic Acid Methyl Ester 2,4,7,8,9-Pentaacetate
别名:5-(Acetylamino)-3,5-dideoxy-D-glycero-D-galacto-2-nonulopyranosonic Acid Methyl Ester 2,4,7,8,9-Pentaacetate;
规格:10mg,100mg
结构图:

CAS号:73208-82-9
分子式:C₂₂H₃₁NO₁₄
分子量:533.48
产品类别:标准对照品,北京莱耀生物提供
注:产品名称以英文名称为准
|