二盐酸哌嗪-d8标准品
货号:P480102
英文名称:Piperazine-d8 Dihydrochloride
别名:Piperazine-2,2,3,3,5,5,6,6-d8 Dihydrochloride; Ascarex D-d8; Diethylenediamine-d8 Dihydrochloride; Dihydro Pip Wormer-d8; Dowzene DHC-d8; Piperazinium-d8 Dichloride;
规格:250mg,2.5g
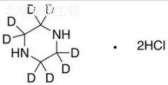
结构式:

CAS号:849482-21-9
分子式:C4H4D8Cl2N2
分子量:167.11
产品类别:莱耀生物标准品,北京莱耀生物提供
注:产品名称以英文名称为准
|