欢迎光临:莱耀标准品网!
 您的位置:对照品 > 标准品 > dr标准品 >
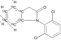
Diclofenac Amide-13C6 (~5% unlabelled)
产品基本信息
产品编号:D436442
产品名称:Diclofenac Amide-13C6 (~5% unlabelled)
产品CAS:
规格含量:1mg
产品价格:面议
联系我们:
产品详细介绍
标准品编号: D436442
名称: Diclofenac Amide-13C6 (~5% unlabelled)
别名: 1-(2,6-Dichlorophenyl)-1,3-dihydro-2H-indol-2-one-13C6; 1-(2,6-Dichlorophenyl)oxindole-13C6; N-(2,6-dichlorophenyl)-2-indolinone-13C6; NSC 621845-13C6; Diclofenac Lactam-13C6; USP DIclofenac Related Compound VIP(LA)13C6
参考CAS号: 类似: 15362-40-0
分子式: C₈¹³C₆H₉Cl₂NO
外观: 白色至淡黄色固体
分子量: 284.09
储存: 冰箱保存
溶解性: Chloroform (Slightly), Dichloromethane, Ethyl Acetate
种类: Standards; Isotopic Labeled Analogues; Pharmaceutical/API Drug Impurities/Metabolites;
应用: Diclofenac Amide-13C6 is a labelled analogue of Diclofenac Amide (D436440), which is a potential prodrug of Diclofenac and possible impurity during its commercial synthesis. Diclofenac Amide-13C6 is also an intermediate in synthesizing Diclofenac-13C6 Sodium Salt (D436453), which is a labelled analogue of Diclofenac Sodium Salt (D436450).
参考文献


2011-2018 信阳莱耀生物科技有限公司 @ 信阳埃尔文生物科技有限公司版权所有

中检所标准品,对照品,标准气体
Keywords: 中检所标准品 对照品 标准气体