欢迎光临:莱耀标准品网!
 您的位置:对照品 > 标准品 > dr标准品 >
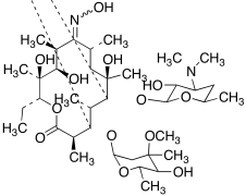
Erythromycin A Oxime
产品基本信息
产品编号:E650010
产品名称:Erythromycin A Oxime
产品CAS:13127-18-9
规格含量:250mg
产品价格:面议
联系我们:
产品详细介绍
标准品编号: E650010
名称: Erythromycin A Oxime
别名: 9-Erythromycin 9-Oxime; 9-Erythromycin A Oxime; Erythromycin Oxime; Roxithromycin Impurity C; Clarithromycin EP Impurity J
杂质: Clarithromycin EP Impurity J
CAS号: 13127-18-9
分子式: C₃₇H₆₈N₂O₁₃
外观: 白色至白色固体
熔点: >150°C (dec.)
分子量: 748.94
储存: -20°C Freezer, Under Inert Atmosphere
溶解度: Chloroform (Slightly), DMSO (Slightly), Ethanol (Slightly), Methanol (Slightly,
种类: Standards; Chiral Molecules; Pharmaceutical/API Drug Impurities/Metabolites;
应用: Erythromycin A Oxime (Roxithromycin Impurity C) (Clarithromycin EP Impurity J) is the major metabolite of Roxithromycin and an intermediate of Azithromycin. Antibacterial agent. Roxithromycin impurity C.
参考文献


2011-2018 信阳莱耀生物科技有限公司 @ 信阳埃尔文生物科技有限公司版权所有

中检所标准品,对照品,标准气体
Keywords: 中检所标准品 对照品 标准气体