欢迎光临:莱耀标准品网!
 您的位置:对照品 > 标准品 > dr标准品 >
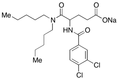
Lorglumide Sodium Salt
产品基本信息
产品编号:L469910
产品名称:Lorglumide Sodium Salt
产品CAS:1021868-76-7
规格含量:10mg
产品价格:面议
联系我们:
产品详细介绍
标准品编号: L469910
名称: Lorglumide Sodium Salt
别名: 4-[(3,4-Dichlorobenzoyl)amino]-5-(dipentylamino)-5-oxo-pentanoic Acid Sodium Salt
CAS号: 1021868-76-7
参考CAS号: Free Acid: 97964-56-2
分子式: C₂₂H₃₁Cl₂N₂NaO₄
外观: 白色固体
熔点: >229°C (dec.)
分子量: 481.39
储存: 冰箱
溶解度: DMSO (Slightly), Methanol (Slightly)
种类: Research Tools; Pharmaceutical/API Drug Impurities/Metabolites;
应用: Lorglumide Sodium Salt is a nonpeptidic antagonist of the CCK A recepotor, and minimally effective at the CCK B receptor. It blocks CCK -mediated muscle contraction, pancreatic growth and secretion.
参考文献


2011-2018 信阳莱耀生物科技有限公司 @ 信阳埃尔文生物科技有限公司版权所有

中检所标准品,对照品,标准气体
Keywords: 中检所标准品 对照品 标准气体