欢迎光临:莱耀标准品网!
 您的位置:对照品 > 标准品 > dr标准品 >
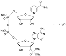
β-NADPH Tetrasodium Salt Hydrate
产品基本信息
产品编号:N201500
产品名称:β-NADPH Tetrasodium Salt Hydrate
产品CAS:
规格含量:50mg
产品价格:面议
联系我们:
产品详细介绍
标准品编号: N201500
名称: β-NADPH Tetrasodium Salt Hydrate
别名: 2'-(Dihydrogen Phosphate) 5'-(Trihydrogen Pyrophosphate)adenosine 5'5'-Ester 1,4-Dihydro-1-β-D-ribofuranosylnicotinamide Tetrasodium Salt Hydrate; β-NADPH; 2′-NADPH Hydrate; Coenzyme II Reduced Tetrasodium Salt Hydrate; Triphosphopyridine Nucleotide Reduced Tetrasodium Salt Hydrate; Dihydronicotinamide Adenine Dinucleotide Phosphate Tetrasodium Salt Hydrate;
参考CAS号: Free Acid: 53-57-6; 2646-71-1 tetrasodium salt;
分子式: C₂₁H₂₆N₇Na₄O₁₇P₃ • xH₂O
外观: 白色至淡黄色固体
熔点: >198°C (dec.)
分子量: 833.35
储存: -20°C Freezer
溶解度: Water (Slightly)
种类: Standards; Carbohydrates and Oligosaccharides;
应用: One of the biologically active forms of nicotinic acid. Differs from NAD by an additional phosphate group at the 2’-position of the adenosine moiety. Serves as a coenzyme of hydrogenases and dehydrogenases. Present in living cells primarily in the reduced form (NADPH) and is involved in synthetic reactions.
参考文献


2011-2018 信阳莱耀生物科技有限公司 @ 信阳埃尔文生物科技有限公司版权所有

中检所标准品,对照品,标准气体
Keywords: 中检所标准品 对照品 标准气体