欢迎光临:莱耀标准品网!
 您的位置:对照品 > 标准品 > dr标准品 >
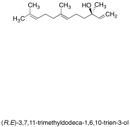
trans-(R)-Nerolidol
产品基本信息
产品编号:N385735
产品名称:trans-(R)-Nerolidol
产品CAS:77551-75-8
规格含量:10mg
产品价格:面议
联系我们:
产品详细介绍
标准品编号: N385735
名称: trans-(R)-Nerolidol
别名: (3R,6E)-3,7,11-Trimethyl-1,6,10-dodecatrien-3-ol; (+)-(E)-Nerolidol; (3R)-(E)-Nerolidol; (3R)-Nerolidol; (3R)-trans-Nerolidol; (R)-trans-Nerolidol; (R,E)-3,7,11-Trimethyldodeca-1,6,10-trien-3-ol;
CAS号: 77551-75-8
分子式: C₁₅H₂₆O
分子量: 222.37
种类: Standards; Natural Products;
应用: trans-(R)-Nerolidol is a sesquiterpene found in many plant species. A pheromone component of fruit spotting bug.
参考文献


2011-2018 信阳莱耀生物科技有限公司 @ 信阳埃尔文生物科技有限公司版权所有

中检所标准品,对照品,标准气体
Keywords: 中检所标准品 对照品 标准气体