欢迎光临:莱耀标准品网!
 您的位置:对照品 > 标准品 > 欧洲药典标准品 >
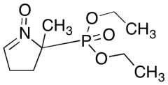
DEPMPO
产品基本信息
产品编号:D228508
产品名称:DEPMPO
产品CAS:157230-67-6
规格含量:10mg
产品价格:面议
联系我们:
产品详细介绍
标准品编号: D228508
名称: DEPMPO
别名: 5-(Diethoxyphosphoryl)-5-methyl-1-pyrroline-N-oxide; (3,4-Dihydro-2-methyl-2H-pyrrol-2-yl)-phosphonic Acid Diethyl Ester; P-​(3,​4-​Dihydro-​2-​methyl-​1-​oxido-​2H-​pyrrol-​2-​yl)​-​phosphonic Acid Diethyl Ester
CAS号: 157230-67-6
分子式: C₉H₁₈NO₄P
分子量: 235.22
种类: Research Tools; Molecular Biology; Spin Labels;
应用: DEPMPO is the most efficient spin trap for the in vitro detection of O-, N-, S- and C-centered free radicals both invitro and invivo. It has a longer life-time than DMPO and can distinguish between superoxide-dependent and independent mechanisms that lead to the hydroxyl radical. It is less lipophilic (Kp=0.16) than DIPPMPO.
参考文献


2011-2018 信阳莱耀生物科技有限公司 @ 信阳埃尔文生物科技有限公司版权所有

中检所标准品,对照品,标准气体
Keywords: 中检所标准品 对照品 标准气体