您的位置:对照品 > 标准品 > 欧洲药典标准品 > |
|
|
|
| 产品基本信息 |
|
| 产品编号:E905558 |
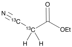
| 产品名称:Ethyl Cyanoacetate-2,3-13C2 |
| 产品CAS:1329809-26-8 |
| 规格含量:250mg |
| 产品价格:面议 |
| 联系我们: |
|
|
|
|
|
| 产品详细介绍 |
| 标准品编号: |
E905558 |
| 名称: |
Ethyl Cyanoacetate-2,3-13C2 |
| 别名: |
2-Cyano-acetic Acid Ethyl Ester-13C2; (Ethoxycarbonyl)acetonitrile-13C2; Cyanoacetic Acid Ethyl Ester-13C2; Cyanoacetic Ester-13C2; Ethyl 2-Cyanoacetate-13C2; Malonic Acid Ethyl Ester Nitrile-13C2; NSC 8844-13C2; |
| CAS号: |
1329809-26-8 |
| 参考CAS: |
105-56-6 unlabelled |
| 分子式: |
C₃¹³C₂H₇NO₂ |
| 外观: |
Colourless Oil |
| 分子量: |
115.1 |
| 溶解度: |
Dichloromethane, Ethyl Acetate |
| 种类: |
Building Blocks; Isotopic Labeled Analogues; Miscellaneous; |
| 应用: |
Reagent used in labelled pyrimidine and purine synthesis. |
| 危险品: |
Not a dangerous good if item is equal to or less than 1g/ml and there is less than 100g/ml in the package |
| 参考文献 |
|
|
|
|
|
|