欢迎光临:莱耀标准品网!
 您的位置:对照品 > 标准品 > 欧洲药典标准品 >
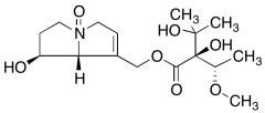
Europine N-oxide
产品基本信息
产品编号:E649945
产品名称:Europine N-oxide
产品CAS:65582-53-8
规格含量:5mg
产品价格:面议
联系我们:
产品详细介绍
标准品编号: E649945
名称: Europine N-oxide
别名: 1,5-Dideoxy-2-C-methyl-4-O-methyl-3-C-[[[(1S,7aR)-2,3,5,7a-tetrahydro-1-hydroxy-4-oxido-1H-pyrrolizin-7-yl]methoxy]carbonyl]-L-threo-pentitol; NSC 282143; NSC 282143; (1S, 7aR)-7-((((R)-2,3-Dihydroxy-2-((S)-1-methoxyethyl)-3-methylbutanoyl)oxy)methyl)-1,2,3,4,5,7a-hexahydopyrrolizine 4-Oxide
CAS号: 65582-53-8
分子式: C₁₆H₂₇NO₇
分子量: 345.39
种类: Standards; Pharmaceutical/API Drug Impurities/Metabolites;
应用: Europine N-oxide is a pyrrolizidine alkaloids isolated from the root of Heliotropium marifolium with antineoplastic and antiviral functions.
参考文献


2011-2018 信阳莱耀生物科技有限公司 @ 信阳埃尔文生物科技有限公司版权所有

中检所标准品,对照品,标准气体
Keywords: 中检所标准品 对照品 标准气体