欢迎光临:莱耀标准品网!
 您的位置:对照品 > 标准品 > 分析标准品 >
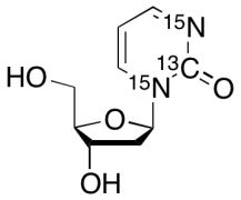
β-2’-Deoxy Zebularine-13C,15N
产品基本信息
产品编号:D281832
产品名称:β-2’-Deoxy Zebularine-13C,15N
产品CAS:
规格含量:2.5mg
产品价格:面议
联系我们:
产品详细介绍
标准品编号: D281832
名称: β-2’-Deoxy Zebularine-13C,15N
别名: 1-(2-Deoxy-β-D-erythro-pentofuranosyl)-2(1H)-pyrimidinone-13C,15N
参考CAS号: 未标记:22003-30-1
分子式: C₈¹³CH₁₂¹⁵N₂O₄
分子量: 215.18
种类: Standards; Isotopic Labeled Analogues; Enzyme Activators and Inhibitors;
应用: β-2’-Deoxy Zebularine-13C,15N is a labelled version of β-2’-Deoxy Zebularine (D281830) which is a metabolite of Zebularine (Z276000) and can be used as an inhibitor of human deoxycytidylate deaminase.
参考文献


2011-2018 信阳莱耀生物科技有限公司 @ 信阳埃尔文生物科技有限公司版权所有

中检所标准品,对照品,标准气体
Keywords: 中检所标准品 对照品 标准气体