您的位置:对照品 > 标准品 > 分析标准品 > |
|
|
|
| 产品基本信息 |
|
| 产品编号:D298810 |
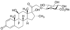
| 产品名称:Dexamethasone β-D-Glucuronide Sodium Salt |
| 产品CAS:105088-08-2 |
| 规格含量:10mg |
| 产品价格:面议 |
| 联系我们: |
|
|
|
|
|
| 产品详细介绍 |
| 标准品编号: |
D298810 |
| 名称: |
Dexamethasone β-D-Glucuronide Sodium Salt |
| 别名: |
(11β,16α)-9-fluoro-11,17-dihydroxy-16-methyl-3,20-dioxopregna-1,4-dien-21-yl β-D-Glucopyranosiduronic Acid Sodium Salt; |
| CAS号: |
105088-08-2 |
| 参考CAS号: |
Free acid: 152154-28-4 |
| 分子式: |
C₂₈H₃₆FNaO₁₁ |
| 外观: |
白色固体 |
| 熔点: |
>235°C (dec.) |
| 分子量: |
590.57 |
| 储存: |
Hygroscopic, -20ËšC Freezer, Under Inert Atmosphere |
| 溶解性: |
DMSO (Slightly), Methanol (Slightly) |
| 种类: |
Standards; Steroids; Pharmaceutical/API Drug Impurities/Metabolites; |
| 应用: |
Sodium salt of Dexamethasone β-D-Glucuronide is a potential prodrug for colonic delivery of the antiinflammatory corticosteroid Dexamethasone. |
| 参考文献 |
|
|
|
|
|
|
|
|