欢迎光临:莱耀标准品网!
 您的位置:对照品 > 标准品 > 分析标准品 >
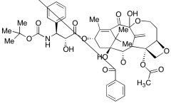
7,8-Seco-8,8’-Dehydro-7-dehodroxy-9-deoxo-7,9-epoxy-9-hydroxy Docetaxel
产品基本信息
产品编号:D422230
产品名称:7,8-Seco-8,8’-Dehydro-7-dehodroxy-9-deoxo-7,9-epoxy-9-hydroxy Docetaxel
产品CAS:
规格含量:10mg
产品价格:面议
联系我们:
产品详细介绍
标准品编号: D422230
名称: 7,8-Seco-8,8’-Dehydro-7-dehodroxy-9-deoxo-7,9-epoxy-9-hydroxy Docetaxel
分子式: C₄₃H₅₁NO₁₄
外观: 白色固体
分子量: 805.86
储存: Hygroscopic, -20°C Freezer, Under inert atmosphere
溶解性: Chloroform (Slightly), DMSO (Slightly)
种类: Standards; Pharmaceutical/API Drug Impurities/Metabolites;
应用: 7,8-Seco-8,8’-Dehydro-7-dehodroxy-9-deoxo-7,9-epoxy-9-hydroxy Docetaxel is a derivative of Docetaxel (D494420).
参考文献


2011-2018 信阳莱耀生物科技有限公司 @ 信阳埃尔文生物科技有限公司版权所有

中检所标准品,对照品,标准气体
Keywords: 中检所标准品 对照品 标准气体