欢迎光临:莱耀标准品网!
 您的位置:对照品 > 标准品 > 分析标准品 >
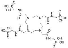
DOTA-4AMP Hydrobromide Dihydride
产品基本信息
产品编号:D447915
产品名称:DOTA-4AMP Hydrobromide Dihydride
产品CAS:
规格含量:10mg
产品价格:面议
联系我们:
产品详细介绍
标准品编号: D447915
名称: DOTVIP(LA)4AMP Hydrobromide Dihydride
别名: [1,4,7,10-tetraazacyclododecane-1,4,7,10-tetrayltetrakis[(1-oxo-2,1-ethanediyl)iminomethylene]]tetrakisphosphonic Acid
参考CAS号: 254444-71-8
分子式: C₂₀H₄₄N₈O₁₆P₄ • HBr • 2H ₂O
分子量: 776.5080912
种类: Building Blocks; Miscellaneous;
应用: DOTVIP(LA)4AMP, is a macrocyclic ligand used for preparation of magnetic resonance imaging contrast agents.
参考文献


2011-2018 信阳莱耀生物科技有限公司 @ 信阳埃尔文生物科技有限公司版权所有

中检所标准品,对照品,标准气体
Keywords: 中检所标准品 对照品 标准气体