欢迎光临:莱耀标准品网!
 您的位置:对照品 > 标准品 > 分析标准品 >
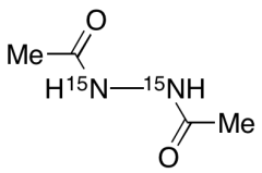
Diacetyl Hydrazine-15N2
产品基本信息
产品编号:D454473
产品名称:Diacetyl Hydrazine-15N2
产品CAS:92660-95-2
规格含量:25mg
产品价格:面议
联系我们:
产品详细介绍
标准品编号: D454473
名称: Diacetyl Hydrazine-15N2
CAS号: 92660-95-2
参考CAS号: Unlabeled: 3148-73-0
分子式: C₄H₈¹⁵N₂O₂
分子量: 118.11
种类: Building Blocks; Isotopic Labeled Analogues;
应用: Diacetyl Hydrazine-15N2 is the labeled version of 1,2-Diacetylhydrazine (D454478).
参考文献


2011-2018 信阳莱耀生物科技有限公司 @ 信阳埃尔文生物科技有限公司版权所有

中检所标准品,对照品,标准气体
Keywords: 中检所标准品 对照品 标准气体