欢迎光临:莱耀标准品网!
 您的位置:对照品 > 标准品 > 分析标准品 >
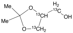
2,2-Dimethyl-1,3-dioxolane-13C3-4-methanol
产品基本信息
产品编号:D472643
产品名称:2,2-Dimethyl-1,3-dioxolane-13C3-4-methanol
产品CAS:1436560-86-9
规格含量:100mg
产品价格:面议
联系我们:
产品详细介绍
标准品编号: D472643
名称: 2,2-Dimethyl-1,3-dioxolane-13C3-4-methanol
别名: (RS)-Solketal-13C3; (+/-)-1,2-O-Isopropylideneglycerol-13C3; (+/-)-Glycerol 1,2-Acetonide-13C3; 1,2-Isopropylideneglycerin-13C3; 1,2-Isopropylideneglycerol-13C3; 2,3-(Isopropylidenedioxy)propanol-13C3; 2,3-Isopropylideneglycerol-13C3; Acetone Glyceryl Acetal-13C3; Dioxolan-13C3; α,β-Isopropylidene-13C3 Ether; Glycerolacetone-13C3; NSC 59720-13C3
CAS号: 1436560-86-9
参考CAS号: 100-79-8 - unlabelled
分子式: C₃¹³C₃H₁₂O₃
外观: Oil
分子量: 135.14
种类: Standards; Isotopic Labeled Analogues; Enzyme Activators and Inhibitors;
应用: Labelled (R,S)-2,2-Dimethyl-1,3-dioxolane-4-methanol (D472640), a MEK inhibitor with antitumor activity.
参考文献


2011-2018 信阳莱耀生物科技有限公司 @ 信阳埃尔文生物科技有限公司版权所有

中检所标准品,对照品,标准气体
Keywords: 中检所标准品 对照品 标准气体