欢迎光临:莱耀标准品网!
 您的位置:对照品 > 标准品 > 分析标准品 >
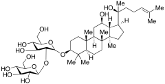
Ginsenoside Rg3
产品基本信息
产品编号:G387590
产品名称:Ginsenoside Rg3
产品CAS:14197-60-5
规格含量:25mg
产品价格:面议
联系我们:
产品详细介绍
标准品编号: G387590
名称: Ginsenoside Rg3
别名: 3β-[(2-O-β-D-Glucopyranosyl-β-D-glucopyranosyl)oxy]-dammar-24-ene-12β,20-diol; Dammarane, β-D-glucopyranoside deriv.; (20S)-Propanaxadiol; (3β,12β)-12,20-Dihydroxydammar-24-en-3-yl O-β-D-glucopyranosyl-(1→2)-β-D-glucopyranoside; 20(S)-Ginsenoside-Rg3; 20S-Ginsenoside Rg3; 3-O-β-D-Glucopyranosyl-(1→2)-β-D-glucopyranosyldammar-24-ene-3β,12β,20S-triol; Ginsenoside 20-Rg3; Ginsenoside Rg3; S-Ginsenoside Rg3
CAS号: 14197-60-5
分子式: C₄₂H₇₂O₁₃
外观: 白色至白色固体
熔点: 209-219°C
分子量: 785.01
储存: -20°C Freezer, Under inert atmosphere
溶解度: DMSO (Slightly), Methanol (Slightly)
种类: Standards; Steroids; Pharmaceutical/API Drug Impurities/Metabolites;
应用: Ginsenoside Rg3 shows a synergistic antitumor effect with cisplatin in cisplatin-resistant bladder tumor cell lines and is considered to be an anti-tumor agent.
参考文献


2011-2018 信阳莱耀生物科技有限公司 @ 信阳埃尔文生物科技有限公司版权所有

中检所标准品,对照品,标准气体
Keywords: 中检所标准品 对照品 标准气体