欢迎光临:莱耀标准品网!
 您的位置:对照品 > 标准品 > 分析标准品 >
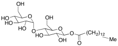
4-O-α-D-Glucopyranosyl-β-D-glucopyranose-1-tetradecanoate
产品基本信息
产品编号:G425025
产品名称:4-O-α-D-Glucopyranosyl-β-D-glucopyranose-1-tetradecanoate
产品CAS:376646-03-6
规格含量:2.5g
产品价格:面议
联系我们:
产品详细介绍
标准品编号: G425025
名称: 4-O-α-D-Glucopyranosyl-β-D-glucopyranose-1-tetradecanoate
别名: (2S,3R,4R,5S,6R)-3,4-Dihydroxy-6-(hydroxymethyl)-5-(((2R,3R,4S,5S,6R)-3,4,5-trihydroxy-6-(hydroxymethyl)tetrahydro-2H-pyran-2-yl)oxy)tetrahydro-2H-pyran-2-yl Tetradecanoate
CAS号: 376646-03-6
分子式: C₂₆H₄₈O₁₂
分子量: 552.65
种类: Standards; Carbohydrates and Oligosaccharides;
应用: 4-O-α-D-Glucopyranosyl-β-D-glucopyranose-1-tetradecanoate has been used in the preparation of a layered sensor membrane.
参考文献


2011-2018 信阳莱耀生物科技有限公司 @ 信阳埃尔文生物科技有限公司版权所有

中检所标准品,对照品,标准气体
Keywords: 中检所标准品 对照品 标准气体