您的位置:对照品 > 标准品 > 分析标准品 > |
|
|
|
| 产品基本信息 |
|
| 产品编号:G816002 |
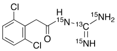
| 产品名称:Guanfacine-13C, 15N3 |
| 产品CAS:1189924-28-4 |
| 规格含量:10mg |
| 产品价格:面议 |
| 联系我们: |
|
|
|
|
|
| 产品详细介绍 |
| 标准品编号: |
G816002 |
| 名称: |
Guanfacine-13C, 15N3 |
| 别名: |
N-(Aminoiminomethyl)-2,6-dichlorobenzeneacetamide-13C, 15N3; N-Amidino-2-(2,6-dichlorophenyl)acetamide-13C, 15N3; [(2,6-Dichlorophenyl)acetyl]guanidine-13C,15N3; Guanfascine-13C,15N3; Guarfacine-13C, 15N3; |
| CAS号: |
1189924-28-4 |
| 参考CAS号: |
Unlabelled: 29110-47-2 |
| 分子式: |
C₈¹³CH₉Cl₂¹⁵N₃O |
| 外观: |
白色至白色固体 |
| 熔点: |
208 - 211°C |
| 分子量: |
250.07 |
| 储存: |
Hygroscopic, -20˚C Freezer, Under Inert Atmosphere |
| 溶解度: |
Methanol (Slightly, Sonicated) |
| 种类: |
Standards; Isotopic Labeled Analogues; Pharmaceutical/API Drug Impurities/Metabolites; |
| 应用: |
Centrally acting α-adrenoceptor agonist. Antihypertensive. |
| 参考文献 |
|
|
|
|
|
|
|
|