欢迎光临:莱耀标准品网!
 您的位置:对照品 > 标准品 > 分析标准品 >
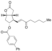
(3aR,4R,5R,6aS)-Hexahydro-2-oxo-4-[(1E)-3-oxo-1-octen-1-yl]-2H-cyclopenta[b]furan-5-yl Est
产品基本信息
产品编号:H294375
产品名称:(3aR,4R,5R,6aS)-Hexahydro-2-oxo-4-[(1E)-3-oxo-1-octen-1-yl]-2H-cyclopenta[b]furan-5-yl Est
产品CAS:31753-00-1
规格含量:250mg
产品价格:面议
联系我们:
产品详细介绍
标准品编号: H294375
名称: (3aR,4R,5R,6aS)-Hexahydro-2-oxo-4-[(1E)-3-oxo-1-octen-1-yl]-2H-cyclopenta[b]furan-5-yl Ester [1,1’-Biphenyl]-4-carboxylic Acid
别名: 2H-Cyclopenta[b]furan, [1,1'-biphenyl]-4-carboxylic Acid Deriv; [3aα,4α(E),5β,6aα]-(-)-[1,1'-Biphenyl]-4-carboxylic Acid, Hexahydro-2-oxo-4-(3-oxo-1-octenyl)-2H-cyclopenta[b]furan-5-yl Ester;
CAS号: 31753-00-1
分子式: C₂₈H₃₀O₅
外观: Dark-Brown Solid
分子量: 446.53
溶解度: DCM, Ethyl Acetate
种类: Standards; Chiral Molecules; Pharmaceutical/API Drug Impurities/Metabolites;
应用: (3aR,4R,5R,6aS)-Hexahydro-2-oxo-4-[(1E)-3-oxo-1-octen-1-yl]-2H-cyclopenta[b]furan-5-yl Ester [1,1’-Biphenyl]-4-carboxylic Acid is an intermediate in the synthesis of Prostaglandin E2 (P838610), the most common and biologically potent of mammalian prostaglandins.
参考文献


2011-2018 信阳莱耀生物科技有限公司 @ 信阳埃尔文生物科技有限公司版权所有

中检所标准品,对照品,标准气体
Keywords: 中检所标准品 对照品 标准气体