欢迎光临:莱耀标准品网!
 您的位置:对照品 > 标准品 > 分析标准品 >
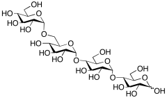
6-α-D-Glucopyranosyl Maltotriose Deuterated (D9 Major)
产品基本信息
产品编号:G419104
产品名称:6-α-D-Glucopyranosyl Maltotriose Deuterated (D9 Major)
产品CAS:
规格含量:2.5mg
产品价格:面议
联系我们:
产品详细介绍
标准品编号: G419104
名称: 6-α-D-Glucopyranosyl Maltotriose Deuterated (D9 Major)
别名: 4-O-[4-O-(6-O-α-D-Glucopyranosyl-α-D-glucopyranosyl)-α-D-glucopyranosyl]-D-glucopyranose Deuterated; Glc-α-1,6-Glc-α-1,4-Glc-α-1,4Glc Deuterated;
参考CAS号: 34336-93-1
分子式: C₂₄H₃₃D₉O₂₁
外观: 白色至白色固体
熔点: >123°C (dec.)
分子量: 675.63
储存: Hygroscopic, -20°C Freezer, Under inert atmosphere
溶解度: Water (Slightly)
稳定性: Hygroscopic
种类: Standards; Isotopic Labeled Analogues; Carbohydrates and Oligosaccharides;
应用: Labelled 6-α-D-Glucopyranosyl Maltotriose (G419100). Sugar composition of sake.
参考文献


2011-2018 信阳莱耀生物科技有限公司 @ 信阳埃尔文生物科技有限公司版权所有

中检所标准品,对照品,标准气体
Keywords: 中检所标准品 对照品 标准气体