欢迎光临:莱耀标准品网!
 您的位置:对照品 > 标准品 > 分析标准品 >
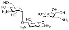
Kanamycin A Deuterated
产品基本信息
产品编号:K137502
产品名称:Kanamycin A Deuterated
产品CAS:1174286-24-8
规格含量:10mg
产品价格:面议
联系我们:
产品详细介绍
标准品编号: K137502
名称: Kanamycin A Deuterated
别名: O-3-Amino-3-deoxy-α-D-glucopyranosyl-(16)-O-[6-amino-6-deoxy-α-D-glucopyranosyl-(14)]-2-deoxy-D-streptamine Deuterated; Cantrex Deuterated ; Cristalomicina Deuterated; Enterokanacin Deuterated; Kamycin Deuterated; Kanabristol Deuterated; Kanamytrex Deuterated; Kanaqua Deuterated; Kanasig Deuterated; Kanatrol Deuterated; Kanescin Deuterated; Otokalixin Deuterated; Resistomycin Deuterated;
CAS号: 1174286-24-8
参考CAS号: Unlabelled: 59-01-8
分子式: C₁₈H₃₆N₄O₁₁ for undeuterated
外观: 白色至Pale Blue Solid
熔点: >180°C (dec.)
分子量: 484.5
储存: Hygroscopic, 冰箱, Under inert atmosphere
溶解度: Water (Slightly)
稳定性: Very Hygroscopic
种类: Standards; Isotopic Labeled Analogues; Pharmaceutical/API Drug Impurities/Metabolites; Antibotics; Carbohydrates and Oligosaccharides;
应用: Antibiotic complex produced by Streptomyces kanamyceticus Okami & Umezawa from Japanese soil. Comprised of three components, kanamycin A, the major component, and kanamycins B and C, two minor congeners. Antibacterial. A representative lot contains d4, d5, d6, d7, d8, and d9.
参考文献


2011-2018 信阳莱耀生物科技有限公司 @ 信阳埃尔文生物科技有限公司版权所有

中检所标准品,对照品,标准气体
Keywords: 中检所标准品 对照品 标准气体