欢迎光临:莱耀标准品网!
 您的位置:对照品 > 标准品 > 分析标准品 >
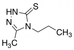
5-Methyl-4-propyl-4H-1,2,4-triazole-3-thiol
产品基本信息
产品编号:M322768
产品名称:5-Methyl-4-propyl-4H-1,2,4-triazole-3-thiol
产品CAS:121519-86-6
规格含量:500mg
产品价格:面议
联系我们:
产品详细介绍
标准品编号: M322768
名称: 5-Methyl-4-propyl-4H-1,2,4-triazole-3-thiol
CAS号: 121519-86-6
分子式: C₆H₁₁N₃S
分子量: 157.23
种类: Building Blocks; Miscellaneous;
应用: 5-methyl-4-propyl-4H-1,2,4-triazole-3-thiol (cas# 121519-86-6) is a useful research chemical.
参考文献


2011-2018 信阳莱耀生物科技有限公司 @ 信阳埃尔文生物科技有限公司版权所有

中检所标准品,对照品,标准气体
Keywords: 中检所标准品 对照品 标准气体