欢迎光临:莱耀标准品网!
 您的位置:对照品 > 标准品 > 进口标准品 >
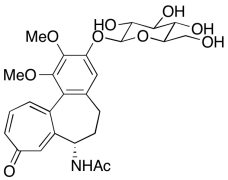
10-Desmethoxycolchiside
产品基本信息
产品编号:D291025
产品名称:10-Desmethoxycolchiside
产品CAS:
规格含量:2.5mg
产品价格:面议
联系我们:
产品详细介绍
标准品编号: D291025
名称: 10-Desmethoxycolchiside
别名: (S)-7-Amino-1,2-dimethoxy-3-(((2S,3R,4S,5S,6R)-3,4,5-trihydroxy-6-(hydroxymethyl)tetrahydro-2H-pyran-2-yl)oxy)-6,7-dihydrobenzo[a]heptalen-9(5H)-one
分子式: C₂₆H₃₁NO₁₀
外观: 淡黄色固体
熔点: 178-182°C
分子量: 517.53
储存: Hygroscopic, -20°C Freezer, Under inert atmosphere
溶解性: Methanol (Slightly), Water (Slightly)
种类: Standards; Pharmaceutical/API Drug Impurities/Metabolites; Carbohydrates and Oligosaccharides;
应用: 10-Desmethoxycolchiside is an impurity of Thiocolchicoside (T344385), a GABA receptor antagonist which is prescribed as a muscle relaxant having analgesic effects.
参考文献


2011-2018 信阳莱耀生物科技有限公司 @ 信阳埃尔文生物科技有限公司版权所有

中检所标准品,对照品,标准气体
Keywords: 中检所标准品 对照品 标准气体