欢迎光临:莱耀标准品网!
 您的位置:对照品 > 标准品 > 进口标准品 >
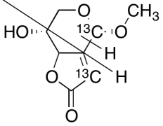
[4S-(4α,7α)]-7,7a-Dihydro-7-hydroxy-4-methoxy-4H-furo[3,2-c]pyran-2(6H
产品基本信息
产品编号:D449414
产品名称:[4S-(4α,7α)]-7,7a-Dihydro-7-hydroxy-4-methoxy-4H-furo[3,2-c]pyran-2(6H
产品CAS:
规格含量:1mg
产品价格:面议
联系我们:
产品详细介绍
标准品编号: D449414
名称: [4S-(4α,7α)]-7,7a-Dihydro-7-hydroxy-4-methoxy-4H-furo[3,2-c]pyran-2(6H)-one-13C3
别名: (4S,7R)-7-hydroxy-4-methoxy-4,6,7,7a-tetrahydro-2H-furo[3,2-c]pyran-2-one-13C3;
分子式: C₅¹³C₃H₁₀O₅
外观: 白色固体
分子量: 189.14
溶解性: Dichloromethane; Ethyl Acetate; Methanol
种类: Standards; Isotopic Labeled Analogues; Pharmaceutical/API Drug Impurities/Metabolites;
应用: [4S-(4α,7α)]-7,7a-Dihydro-7-hydroxy-4-methoxy-4H-furo[3,2-c]pyran-2(6H)-one-13C3 is an intermediate in synthesizing Patulin-13C3 (P206502), a labelled Patulin (PAT). It is a mycotoxin produced by certain species of Penicillium, Aspergillus, and Byssochlamys, is mainly found in ripe apple and apple products. Patulin-induced genotoxicity and modulation of glutathione in Hep G2 cells. Antibiotic.
参考文献


2011-2018 信阳莱耀生物科技有限公司 @ 信阳埃尔文生物科技有限公司版权所有

中检所标准品,对照品,标准气体
Keywords: 中检所标准品 对照品 标准气体