欢迎光临:莱耀标准品网!
 您的位置:对照品 > 标准品 > 进口标准品 >
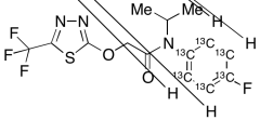
Flufenacet-13C6
产品基本信息
产品编号:F599422
产品名称:Flufenacet-13C6
产品CAS:
规格含量:2.5mg
产品价格:面议
联系我们:
产品详细介绍
标准品编号: F599422
名称: Flufenacet-13C6
别名: Fluthiamid-13C6; Fluthiamide-13C6; Thiafluamide-13C6; BAY-FOE 5043-13C6; Define DF-13C6; FOE 5043-13C6; N-(4-Fluorophenyl)-N-(1-methylethyl)-2-[[5-(trifluoromethyl)-1,3,4-thiadiazol-2-yl]oxy]acetamide-13C6;
参考CAS: 142459-58-3 Unlabelled
分子式: C₈¹³C₆H₁₃F₄N₃O₂S
外观: 白色至白色固体
熔点: 78 - 80°C
分子量: 369.29
储存: 冰箱保存
溶解度: Chloroform (Slightly), DMSO (Slightly), Methanol (Slightly)
种类: Standards; Isotopic Labeled Analogues;
应用: Flufenacet-13C6 is labelled Flufenacet (F599420) which is an anilide based herbicide that is applied to the soil surface or incorporated before the crop is emerged. Flufenacet is often used in field corn, corn grown for silage or soybeans to control annual grasses and broadleaf weeds.
危险品: Not a dangerous good if item is equal to or less than 1g/ml and there is less than 100g/ml in the package
参考文献


2011-2018 信阳莱耀生物科技有限公司 @ 信阳埃尔文生物科技有限公司版权所有

中检所标准品,对照品,标准气体
Keywords: 中检所标准品 对照品 标准气体