欢迎光临:莱耀标准品网!
 您的位置:对照品 > 标准品 > 进口标准品 >
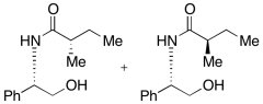
[S-(R*,R*)]-N-(2-Hydroxy-1-phenylethyl)-2-methylbutanamide [S-(R*,S*)]-N-(2-Hydroxy-1-phe
产品基本信息
产品编号:H951305
产品名称:[S-(R*,R*)]-N-(2-Hydroxy-1-phenylethyl)-2-methylbutanamide [S-(R*,S*)]-N-(2-Hydroxy-1-phe
产品CAS:
规格含量:250mg
产品价格:面议
联系我们:
产品详细介绍
标准品编号: H951305
名称: [S-(R*,R*)]-N-(2-Hydroxy-1-phenylethyl)-2-methylbutanamide [S-(R*,S*)]-N-(2-Hydroxy-1-phenylethyl)-2-methylbutanamide Mixture of Diastereomers
参考CAS号: 159223-79-7 and 159223-80-0
分子式: C₂₆H₃₈N₂O₄
外观: 白色固体
分子量: 442.59
溶解度: DCM, Ethyl Acetate, Methanol
种类: Building Blocks; Chiral Molecules;
应用: Intermediate in the synthesis of (R)-2-Methylbutyric Acid (M294365), an important aroma compound found in apples.
参考文献


2011-2018 信阳莱耀生物科技有限公司 @ 信阳埃尔文生物科技有限公司版权所有

中检所标准品,对照品,标准气体
Keywords: 中检所标准品 对照品 标准气体