您的位置:对照品 > 标准品 > 进口标准品 > |
|
|
|
| 产品基本信息 |
|
| 产品编号:I780060 |
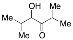
| 产品名称:Isobutyroin |
| 产品CAS:815-77-0 |
| 规格含量:25mg |
| 产品价格:面议 |
| 联系我们: |
|
|
|
|
|
| 产品详细介绍 |
| 标准品编号: |
I780060 |
| 名称: |
Isobutyroin |
| 别名: |
2,5-Dimethyl-4-hydroxyhexan-3-one; 2,5-Dimethylhexan-3-ol-4-one; 4-Hydroxy-2,5-dimethyl-3-hexanone; NSC 23088 |
| CAS号: |
815-77-0 |
| 分子式: |
C₈H₁₆O₂ |
| 外观: |
Light Yellow Oil |
| 分子量: |
144.21 |
| 溶解度: |
Chloroform, DCM |
| 种类: |
Building Blocks; Pharmaceutical/API Drug Impurities/Metabolites; |
| 应用: |
Isobutyroin is an intermediate in the synthesis of pteridine derivatives with potential protective effects with vibrio cholerae infection. |
| 参考文献 |
|
|
|
|
|
|