欢迎光临:莱耀标准品网!
 您的位置:对照品 > 标准品 > 进口标准品 >
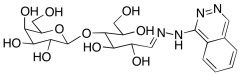
Lactose N-(Phthalazin-8-yl)-hydrazone
产品基本信息
产品编号:L165230
产品名称:Lactose N-(Phthalazin-8-yl)-hydrazone
产品CAS:
规格含量:1mg
产品价格:面议
联系我们:
产品详细介绍
标准品编号: L165230
名称: Lactose N-(Phthalazin-8-yl)-hydrazone
别名: (E)-6-(2-(Phthalazin-1-yl)hydrazono)-3-(((2S,3R,4S,5R,6R)-3,4,5-trihydroxy-6-(hydroxymethyl)tetrahydro-2H-pyran-2-yl)oxy)hexane-1,2,4,5-tetraol
分子式: C₂₀H₂₈N₄O₁₀
外观: Yellow Solid
熔点: >127°C (dec.)
分子量: 484.46
储存: Hygroscopic, 冰箱, under inert atmosphere
溶解度: DMSO (Slightly), Methanol (Slightly)
稳定性: Moisture Sensitive
种类: Standards; Carbohydrates and Oligosaccharides;
应用: Lactose N-(Phthalazin-8-yl)-hydrazone is an intermediate in the synthesis of Hydralazine Lactosone Ring-opened Adduct (H675150). Hydralazine Lactosone Ring-opened Adduct is a derivative of Lactose (L114000).
参考文献


2011-2018 信阳莱耀生物科技有限公司 @ 信阳埃尔文生物科技有限公司版权所有

中检所标准品,对照品,标准气体
Keywords: 中检所标准品 对照品 标准气体