欢迎光临:莱耀标准品网!
 您的位置:对照品 > 标准品 > 进口标准品 >
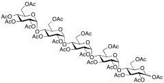
Maltopentose Peracetate
产品基本信息
产品编号:M160175
产品名称:Maltopentose Peracetate
产品CAS:70681-32-2
规格含量:50mg
产品价格:面议
联系我们:
产品详细介绍
标准品编号: M160175
名称: Maltopentose Peracetate
别名: Peracetyl maltopentaose; Heptadecaacetyl-D-maltopentaose; O-2,3,4,6-Tetra-O-acetyl-α-D-glucopyranosyl-(1→4)-O-2,3,6-tri-O-acetyl-α-D-glucopyranosyl-(1→4)-O-2,3,6-tri-O-acetyl-α-D-glucopyranosyl-(1→4)-O-2,3,6-tri-O-acetyl-α-D-glucopyranosyl-(1→4)-D-glucopyranose Tetraacetate; O-2,3,4,6-Tetra-O-acetyl-α-D-glucopyranosyl-(1→4)-O-2,3,6-tri-O-acetyl-α-D-glucopyranosyl-(1→4)-O-2,3,6-tri-O-acetyl-α-D-glucopyranosyl-(1→4)-O-2,3,6-tri-O-acetyl-α-D-glucopyranosyl-(1→4)-D-glucopyranose 1,2,3,6-Tetraacetate
CAS号: 70681-32-2
分子式: C₆₄H₈₆O₄₃
外观: 白色固体
分子量: 1543.34
溶解度: DCM, Ethyl Acetate
种类: Standards; Carbohydrates and Oligosaccharides;
应用: Maltopentose Peracetate is an intermediate in the synthesis of Maltopentaose (M160170), which is a maltooligosaccharide that is used for research and diagnostic purposes. Maltooligosaccharide can also be used in nutrients and healthcare.
参考文献


2011-2018 信阳莱耀生物科技有限公司 @ 信阳埃尔文生物科技有限公司版权所有

中检所标准品,对照品,标准气体
Keywords: 中检所标准品 对照品 标准气体