您的位置:对照品 > 标准品 > 农药标准品 > |
|
|
|
| 产品基本信息 |
|
| 产品编号:D445122 |
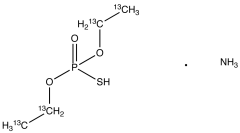
| 产品名称:O,O-Diethyl Thiophosphate-13C4 Ammonium Salt |
| 产品CAS:1330162-89-4 |
| 规格含量:10mg |
| 产品价格:面议 |
| 联系我们: |
|
|
|
|
|
| 产品详细介绍 |
| 标准品编号: |
D445122 |
| 名称: |
O,O-Diethyl Thiophosphate-13C4 Ammonium Salt |
| 别名: |
Phosphorothioic Acid O,O-Diethyl Ester-13C4 Ammonium Salt; Ammonium Ethyl Phosphorothioate-13C4; Phosphorothioic Acid O,O-Diethyl Ester-13C4 Ammonium Salt; Ammonium O,O-Diethyl-13C4 Phosphorothioate; Ammonium O,O-Diethyl Thiophosphate-13C4; |
| CAS号: |
1330162-89-4 |
| 参考CAS号: |
5871-16-9-未标记 |
| 分子式: |
¹³C₄H₁₄NO₃PS |
| 外观: |
白色至白色固体 |
| 熔点: |
137-142°C |
| 分子量: |
191.17 |
| 储存: |
Hygroscopic, -20°C Freezer, Under inert atmosphere |
| 溶解性: |
DMSO (Slightly), Methanol (Slightly) |
| 稳定性: |
Hygroscopic |
| 种类: |
Building Blocks; Isotopic Labeled Analogues; |
| 应用: |
Labelled O,O-Diethyl Thiophosphate (D445120). Used in the synthesis of novel phosphorothioates and phosphorodithioates as cholinesterase inhibitor. |
| 参考文献 |
|
|
|
|
|
|