欢迎光临:莱耀标准品网!
 您的位置:对照品 > 标准品 > 农药标准品 >
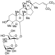
Ginsenoside Rg2-d6
产品基本信息
产品编号:G387583
产品名称:Ginsenoside Rg2-d6
产品CAS:
规格含量:25mg
产品价格:面议
联系我们:
产品详细介绍
标准品编号: G387583
名称: Ginsenoside Rg2-d6
别名: Dammarane-d6, β-D-glucopyranoside-d6 deriv.; Chikusetsusaponin-d3 I; GF-d6 VI
参考CAS号: 类似: 52286-74-5
分子式: C₄₂H₆₆D₆O₁₃
分子量: 791.05
种类: Standards; Isotopic Labeled Analogues;
应用: Ginsenoside Rg2-d6 is deuterium labelledGinsenoside Rg2 (G387580), whichis used as an aldose reductase inhibitor and my exert anti-inflammatory and immunomodulatory activity. It exists as a bioactive metabolite of the ginsenoside component of Panax ginseng.
参考文献


2011-2018 信阳莱耀生物科技有限公司 @ 信阳埃尔文生物科技有限公司版权所有

中检所标准品,对照品,标准气体
Keywords: 中检所标准品 对照品 标准气体