欢迎光临:莱耀标准品网!
 您的位置:对照品 > 标准品 > 农药标准品 >
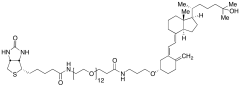
3-(25-Hydroxy Vitamin D3)propylamino-PEG12-Biotin
产品基本信息
产品编号:H995900
产品名称:3-(25-Hydroxy Vitamin D3)propylamino-PEG12-Biotin
产品CAS:
规格含量:10mg
产品价格:面议
联系我们:
产品详细介绍
标准品编号: H995900
名称: 3-(25-Hydroxy Vitamin D3)propylamino-PEG12-Biotin
分子式: C₆₇H₁₁₈N₄O₁₇S
分子量: 1283.74
储存: Amber Vial, -86°C Freezer, Under inert atmosphere
种类: Standards; Pharmaceutical/API Drug Impurities/Metabolites;
应用: 3-(25-Hydroxy Vitamin D3)propylamino-PEG12-Biotin is a vitamin D3 biotin derivative.
参考文献


2011-2018 信阳莱耀生物科技有限公司 @ 信阳埃尔文生物科技有限公司版权所有

中检所标准品,对照品,标准气体
Keywords: 中检所标准品 对照品 标准气体