欢迎光临:莱耀标准品网!
 您的位置:对照品 > 标准品 > TRC >
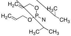
Diallyl N,N-diisopropylphosphoramidite
产品基本信息
产品编号:D416130
产品名称:Diallyl N,N-diisopropylphosphoramidite
产品CAS:126429-21-8
规格含量:100mg
产品价格:面议
联系我们:
产品详细介绍
标准品编号: D416130
名称: Diallyl N,N-diisopropylphosphoramidite
别名: Bis(allyloxy)(diisopropylamino)phosphine; Bis(allyloxy)-N,N-diisopropylaminophosphine; Diallyl N,N-diisopropylphosphoramidite; Diallyl diisopropylphosphoramidite; Diallyloxy(diisopropylamino)phosphine
CAS号: 126429-21-8
分子式: C₁₂H₂₄NO₂P
分子量: 245.3
种类: Building Blocks; Miscellaneous;
应用: Diallyl N,N-diisopropylphosphoramidite is a reagent used in the synthesis of Leustroducsin B that exhibits large variety of biological activities. It also acts as a reagent in the synthesis of water-soluble prodrugs of triazole CS-758 with antifungal activities.
参考文献


2011-2018 信阳莱耀生物科技有限公司 @ 信阳埃尔文生物科技有限公司版权所有

中检所标准品,对照品,标准气体
Keywords: 中检所标准品 对照品 标准气体