欢迎光临:莱耀标准品网!
 您的位置:对照品 > 标准品 > TRC >
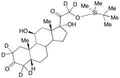
5β-Dihydrocortisol 21-O-tert-Butyldimethylsilyl Ether-d6
产品基本信息
产品编号:D450377
产品名称:5β-Dihydrocortisol 21-O-tert-Butyldimethylsilyl Ether-d6
产品CAS:
规格含量:100mg
产品价格:面议
联系我们:
产品详细介绍
标准品编号: D450377
名称: 5β-Dihydrocortisol 21-O-tert-Butyldimethylsilyl Ether-d6
分子式: C₂₇H₄₀D₆O₅Si
分子量: 484.77
种类: Standards; Steroids; Isotopic Labeled Analogues; Pharmaceutical/API Drug Impurities/Metabolites;
应用: 5β-Dihydrocortisol 21-O-tert-Butyldimethylsilyl Ether-d6 is an isotope labelled intermediate in the synthesis of Tetrahydro Cortisone-d6 (T293377), which is a normal mammalian metabolite of Cortisone (C696500).
参考文献


2011-2018 信阳莱耀生物科技有限公司 @ 信阳埃尔文生物科技有限公司版权所有

中检所标准品,对照品,标准气体
Keywords: 中检所标准品 对照品 标准气体